3万ペソで楽しく暮らす

住居費以外を3万ペソ(60万円)で楽しく暮らす。エンジニアのブログ。

2024-08-01から1ヶ月間の記事一覧

πATT計算式(Excel用)エクセル:【抵抗値から減衰量を計算する式】

πATT(π型アッテネータ)の計算式をメモ。(趣味) ※外出先でもすぐに計算できるようにメモをしておくのが目的 完全に趣味の世界で心苦しいが、こういうのを記録すると便利なので。 $C$16=Z0(Ω) $C$17=R1(Ω) $C$18=R2(Ω) $C$22=K $C$26=K ■抵抗定数⇒dB…

登米市登米町の旅2

※コロナ禍前の話 登米町(とよままち)の続き。 名物の「油麩丼」を食べてみたが、それほど美味ではない。 肉ではなく、「麩」である。 (覚悟していたことではあるが)何だか誤魔化されたような気分。 警察博物館は、展示内容も多く、非常に面白い。 マイナ…

登米市登米町の旅1

※コロナ禍前の話 登米市登米町(とめし とよままち)と読むらしい。 混乱する地名。 仙台から高速バスで向かう。 「みやぎの明治村」とも言われ、古い建物も多く、個人的に嗜好があう。 水沢県庁や旧登米高等尋常小学校校舎(教育資料館になっている)、 警…

「道具」について

ハードウェア・エンジニアは、自分に合った仕事だとは感じる。 ■苦手なこと 営業トークで売り込む アルコールを飲む 大人数で行動する 他人を出し抜く ■好みは 「独り」あるいは「少人数」での行動 指先を使った細かい作業をする 親しくない人と話さない 黙…

【読書日記】ルワンダ中央銀行総裁日記 服部正也

この本は、何十年も前に読んだものだが、そのときの衝撃がまだ忘れられない。 ルワンダの中央銀行総裁として1965年にIMFから任命されたときの同国での体験を綴る。ルワンダに着いた時の飛行場の写真など、驚かされるものがあった。またルワンダ人が決して「…

大葉15週目(青じそ)

大葉(青じそ)15週目。 一次は枯れ果てるところまで行ったが、元気を取り戻した。 巨大化が進行中。 15週目 巨大化が継続中 bp-en.hatenablog.com

【読書日記】家めしの王道 林望

面白い。 嫌味もなく、怒りもなく、憎悪もない。 時代を感じさせるような古い表現が、しばしば見受けられたが、 それはそれで、また楽しく感じられる。 通勤の途中でも、心が乱されずに読める本だ。 毎日、奥様と自身の食事を作っているというリンボウ先生。…

【読書日記】極夜行 角幡唯介

凄い旅だ。 というのが感想だ。 だがしかし、「極夜行前」という本の方が、私にとっては刺激的だった。 おそらくそれは、自分が準備に力を入れる人間だからなのだろう。 そしてまた、この「極夜行」は、どうも鼻白むような記述もある。 ネタバレにならないよ…

伝染性の症状の蔓延

ウィルスなのか細菌なのか、虫なのか・・・ 原因が不明だが、伝染性の症状が蔓延していた。 今までの経緯を整理してみる。 バジルの葉がシワシワになり枯れて落ちていく。 大葉の葉が茶色になり次々と枯れていく。 ミニトマトの葉が茶色になり次々と枯れてい…

北見市から【北海道ほたてスープ】が届く

(似たような内容があり、恐縮ですが・・・) 注文していた「ほたてスープ」が北見市から届いた。 北海道ほたてスープ bp-en.hatenablog.com リンク

ウエル活が終わる(Vポイント:旧Tポイント)

「ウエルシア」というドラッグストアがある。 そのウエルシアには「ウエルシアお客様感謝デー」がある。 毎月20日、【Vポイント】(旧【Tポイント】)を200ポイント以上使用して支払いをすると、1.5倍の金額の買い物をすることができるというものである。 例…

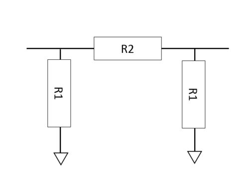
πATT計算式(Excel用)

πATTの計算式をメモ。(趣味) ※外出先でもすぐに計算できるようにメモをしておくのが目的 $C$15=減衰量(dB) $C$16=Z0(Ω) とすると、下記で計算できる。 $C$15/20と$C$15/10が混在しているので注意が必要。 $C$15/10のところは($C$15/20)^2=$C$15/10と…

大葉14週目(青じそ)

大葉を毎週のように収穫しているが、 状況が一変して、葉が元気になっている。 枯れかけていた葉を取り除いてから元気になった。 多すぎて食べきれないレベル。 収獲8/13(20枚) 収穫後一週間8/19

【読書日記】謎の独立国家ソマリランド 高野秀行

凄い。凄い本だ。 高野秀行さんの著作の中でも群を抜いている。 「崩壊国家」「失敗国家」ソマリアの中の、(事実上の)独立国家であるソマリランド。そのソマリランドをメインに取材した著作である。 「ソマリア」や、「ソマリランド」、そしてソマリア内の…

伊藤園から株主優待が届く

伊藤園から株主優待のドリンクセットが届いた。 ありがたい。 伊藤園の株主優待2024

岩出山への旅(宮城県)2

※コロナ禍前の話 岩出山は、大変面白いところだった。 「中鉢美術館」という日本刀を展示してある私設?の美術館もあり、案内の人(館長)が極めて個性的で、近寄りがたいが、非常に楽しめた。 そして、ラーメン屋も。接客を含めて、独特の「味」がある。 規…

岩出山への旅(宮城県)1

※コロナ禍前の話 伊達政宗公が、米沢城(今の山形県米沢市)から本拠地をここ、岩出山に移した。そのときに、岩手沢から岩出山に地名を改めた。(1591年) 1603年、伊達政宗公の四男である「宗泰」(むねやす)が岩出山城主となる。その後、幕末まで宗泰の家…

【読書日記】恐怖の正体 春日武彦

タイトルを見て、「面白くなさそう」だと思った。 しかし、いい方に裏切られた。 大変面白く、かつ「怖い」本でもある。 「怖い」理由は、著者が一風変わっていて、著者自身がホラーな人生なのではないか。と思わしめるような記載があり、(たぶん狙ってやっ…

大葉が元気になる(青じそ)

枯れかけていた大葉(青じそ) 枯れた葉を除去して、追肥。 見違えるように元気になった状態。 成長が早くて驚く。 大葉が増える

【読書日記】はじめての減塩 濱裕宣、赤石定典

健康に気をつかうようになり、食事についても新たな情報を得ようと読んでみた。 塩分を摂り過ぎると、高血圧になり、血管や心臓にダメージを与えると言う。 そこで食事を見直し、減塩することで健康的な生活をおくろうという趣旨になる。 読んでいて、暗い気…

キュウリの収穫(19本目)

実家に植えさせてもらったキュウリ。 そろそろ株も終了な感じがする。 だいぶ勢いが弱っているのだ。 ■今までの収穫記録。 収獲:13本+3本+3本=19本 貰ったもの:3本/(19本中) 綺麗な写真が撮れなかった。 【送料無料】すずなりキュウリ【9cmポット自根苗…

【備忘録】サブネットマスクのお話

以下、フィクションであり、実在の人物、団体、事件等とは何の関係もありません。後で説明しやすいように備忘録として書いています。 新人 「隣の部署から測定器を借りてきましたよ。でも・・・これ、ケーブルを差してもネットワークに繋がらないのですが・…

DM三井製糖HDの株主優待

大日本明治製糖と三井製糖の持ち株会社であるDM三井製糖HDから株主優待が来た。 砂糖である。 砂糖は、必ず使うものなので有りがたい。 配当と優待を貰って、細々と株式投資を楽しんでいければと考えている。 DM三井製糖HD

豚の味噌漬けを頂く

親の方に贈られた「お中元」。 それが「豚の味噌漬け」だった。 一回分ごとにパックされており、一部を頂いた。 豚肉の旨味、味噌の旨味が、合わさって、それが堪らなく美味。 写真を付けるためのアフィリエイト。 米の娘ぶた/味噌漬け6枚入セット[ロース赤…

北海道北見市【北海道じゃがバタースープ】が届く

北海道北見市 【北海道じゃがバタースープ】というものをネットで注文した。 封筒に入って届く。送料を安く抑えたいためだろう。 事情があって、安い価格での注文をしたかったので助かった。 じゃがバタースープ

大葉12週目(収穫)

とにかくもう、諦めたので、再び収穫。 枯れる前に取っただけ。 本来の目的から逸脱しているようで、悔しい感じはする。 それにしても、その生命力には驚かされる。 先週から、それなりに育っている。 枯れた葉は取り除くつもり。 大葉収獲12週目

ミニトマト13週目

何らかの病気と思われる症状で不調のミニトマト。 早目の収穫を心掛けた。 ■記録 6/23:4個 7/15:3個 7/21:4個 7/28:3個 8/04:7個 ミニトマト8/4

黒仕事(Trabajo Negro)

Trabajo Negroは、「黒い仕事」をスペイン語化したもので、こんな表現が実際にあるのか分からない。 ネットで検索すると、ブラック企業はスペイン語では"taller de trabajo esclavo"とも言うらしい。 taller de trabajo=工房 esclavo=奴隷 次々と「炎上プロ…

定期券を拾って交番に届けると、どうなるのか?

定期券を拾った体験談。 銀行店舗の入口付近で定期券を拾った。 記名されているから、簡単に持ち主に戻るだろう。 「無事に持ち主に戻すこと」 それを目指して、私は動き始める。 銀行ATMに取り付けられている電話機で報告 店舗入口から、ATMまで戻り、銀行A…

【読書日記】人生はそれでも続く 読売新聞社会部「あれから」取材班

興味深く読めた本。 過去ニュースとなった、当事者に改めて話を聞き、「その後」を取材した。 新聞掲載で大きな反響を受けた内容を本にしたものである。 この本には、全部で22の話題が記述されている。その一つ一つが、過去に話題となった事例を、後になって…